Insight Compass
business and economy /

How many algebraic identities are there?

How many algebraic identities are there?

The Four Basic Identities in Maths Class 8 have Been Listed Below.

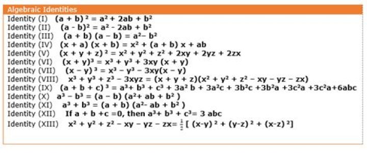
Identity I(a+b)2 = a2+2ab+b2
Identity II(a-b)2 = a2- 2ab+b2
Identity IIIa2-b2= (a+b) (a-b)
Identity IV(x+a) (x+b) = x2+(a+b) x+ab

What is algebraic identities with examples?

An algebraic identity is an equality that holds for any values of its variables. For example, the identity ( x + y ) 2 = x 2 + 2 x y + y 2 (x+y)^2 = x^2 + 2xy + y^2 (x+y)2=x2+2xy+y2 holds for all values of x and y.

What are the 8 identities of polynomials?

Polynomial Identities

  • 1) ( x + y )2 = x2 + 2xy +y2
  • 2) ( x – y) 2 = x2 – 2xy + y2
  • 3) (x + y)(x – y) = x2 – y2
  • 4) (x + a)(x + b) = x2 +(a + b)x + ab.
  • 5) (x + y) 3 = x3 + 3x2y + 3xy2 + y3 = x3 + y3 +3xy(x +y)
  • 6) (x – y) 3 = x3 – 3x2y + 3xy2 – y3 = x3+ y3 -3xy(x –y)
  • 7) (x + y + z) 2 = x2 + y2 + z2 + 2xy + 2yz + 2zx.

What are algebraic identities Class 9?

The algebraic identities for class 9 consist of identities of all the algebraic formulas and expressions. You must have learned algebra formulas for class 9, which are mathematical rule expressed in symbols but the algebraic identities represent that the equation is true for all the values of the variables.

What are the 10 algebraic identities?

Class 10 Algebraic Identities

  • ( a + b)2 = a2 + 2ab + b2.
  • ( a − b)2 = a2 − 2ab + b2.
  • ( a + b)(a – b) = a2 – b2.
  • ( x + a)(x + b) = x2 + (a + b)x + ab.
  • ( x + a)(x – b) = x2 + (a – b)x – ab.
  • ( x – a)(x + b) = x2 + (b – a)x – ab.
  • ( x – a)(x – b) = x2 – (a + b)x + ab.
  • ( a + b)3 = a3 + b3 + 3ab(a + b)

What are the 12 algebraic identities?

Standard Algebraic Identities

  • (a + b)2 = a2 + 2ab + b.
  • (a – b)2 = a2 – 2ab + b.
  • a2 – b2 = (a + b)(a – b)
  • (x + a)(x + b) = x2 + (a + b) x + ab.
  • (a + b + c)2 = a2 + b2 + c2 + 2ab + 2bc + 2ca.
  • (a + b)3 = a3 + b3 + 3ab (a + b)
  • (a – b)3 = a3 – b3 – 3ab (a – b)
  • a3 + b3 + c3– 3abc = (a + b + c)(a2 + b2 + c2 – ab – bc – ca)

What are the 10 identities?

Some Standard Algebraic Identities list are given below:

  • Identity I: (a + b)2 = a2 + 2ab + b2
  • Identity III: a2 – b2= (a + b)(a – b)
  • Identity IV: (x + a)(x + b) = x2 + (a + b) x + ab.
  • Identity V: (a + b + c)2 = a2 + b2 + c2 + 2ab + 2bc + 2ca.
  • Identity VI: (a + b)3 = a3 + b3 + 3ab (a + b)

What are the 8 algebraic identities for Class 9?

Algebraic Identities

  • (x + y)2 = x2 + 2xy + y2
  • (x – y)2 = x2 – 2xy + y2
  • x2 – y2 = (x + y) (x – y)
  • (x + a) (x + b) = x2 + (a + b)x + ab.
  • (x + y + z)2 = x2 + y2 + z2 + 2xy + 2yz + 2zx.
  • (x + y)3 = x3 + y3 + 3xy(x + y)
  • (x – y)3 = x3 – y3 – 3xy(x – y)
  • x3 + y3 + z3 – 3xyz = (x + y + z) (x2 + y2 + z2 – xy – yz – zx)

What are the 11 identities of polynomials Class 9?

Identities I to IV

  • Identity I – (a + b) 2 = a 2 + b 2 + 2ab.
  • Identity II – (a − b) 2 = a 2 + b 2 − 2ab.
  • Identity III – a 2 − b 2 = (a − b) (a + b)
  • Identity IV – (x + a) (x + b) = x 2 + (a + b) x + ab.

What are the 14 identities?

What are the three algebraic identities?

The three algebraic identities in Maths are:

  • Identity 1: (a+b)^2 = a^2 + b^2 + 2ab.
  • Identity 2: (a-b)^2 = a^2 + b^2 – 2ab.
  • Identity 3: a^2 – b^2 = (a+b) (a-b)

What are the 7 algebraic identities?

The standard algebraic identities are: (x + a)(x + b) = x2 + (a + b) x + ab. (a + b + c)2 = a2 + b2 + c2 + 2ab + 2bc + 2ca. (a + b)3 = a3 + b3 + 3ab (a + b) (a – b)3 = a3 – b3 – 3ab (a – b)